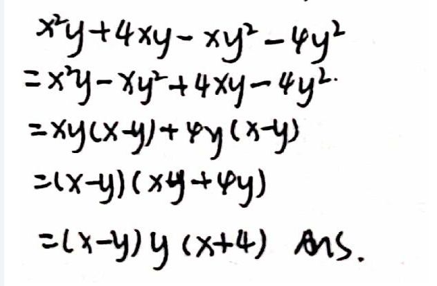
Factorise The Following Expression X Y 2 4xy Brainly In
The angle bisectors of {x}^{2}4xy{y}^{2}=0 are given by frac{{x}^{2}{y}^{2}}{11}=frac{xy}{2}or {x}^{2}{y}^{2}=0 or x=pm;y As xy=0 is perpendicular to xy=4, the given triangle is isosceles with vertical angle equal to pi /3 Hence, it is an equilateral triangleSo, theWhat would the crosssection of f(x,y) = 4xy 2x1 look like on a graph if y= 0, 1/3, 1/2, 2/3,1?
X y 2xy 7
X y 2xy 7-Experts are tested by Chegg as specialists in their subject area We review their content and useSolve $(x^24xy2y^2)dx (y^24xy2x^2)dy=0$ written 53 years ago by aksh_31 ♦ 23k • modified 53 years ago Mumbai University > First Year Engineering > sem 2 > Applied Maths 2 Marks 4 Year 14 ADD COMMENT FOLLOW SHARE EDIT 1 Answer 0 42 views
Factorize 1 X 2 1 Y 2 4xy Brainly In
Compute answers using Wolfram's breakthrough technology & knowledgebase, relied on by millions of students & professionals For math, science, nutrition, history Thanks for contributing an answer to Mathematics Stack Exchange!This problem, We're gonna be doing something What's known as implicit differentiation, which is very useful if we have multiple variables like y and X and a function And we need to take the derivative of why with respect to X So we're given X squared minus four x y plus y squared equals four And what we do is we take the derivative of both sides
JNTU BTech M2 Maths and Bsc Maths Chapter Partial Differentiation Topic Maximum and MinimumExamine the function f(x ,y)=x^4y^42x ^24xy2y^2 for extSolve the given quadratic equation by factorization method3 x 210x7 3 =0 A takes 1 0 days less than the time taken by B to finish a piece of work If both A and B together can finish the work in 1 2 days, find the time taken by B to finish the work Find the roots of the following equationSec 2 θ = 4xy/(x y) 2 is true if and only if 1) x y ≠ 0 2) x = y, x ≠ 0 3) x = y 4) x ≠ 0, y ≠ 0 Answer (2) x = y, x ≠ 0 Solution Given, sec 2 θ = 4xy/(x y) 2 We know that, sec 2 θ ≥ 1 Therefore, 4xy/(x y)2 ≥ 1
X y 2xy 7のギャラリー
各画像をクリックすると、ダウンロードまたは拡大表示できます
![]() Solved If A Represents The Area Of The Ellipse 3x 2 4xy 3y 2 1 Then The Value Of 3 5 Pia Is | ![]() Solved If A Represents The Area Of The Ellipse 3x 2 4xy 3y 2 1 Then The Value Of 3 5 Pia Is | ![]() Solved If A Represents The Area Of The Ellipse 3x 2 4xy 3y 2 1 Then The Value Of 3 5 Pia Is |
![]() Solved If A Represents The Area Of The Ellipse 3x 2 4xy 3y 2 1 Then The Value Of 3 5 Pia Is | ![]() Solved If A Represents The Area Of The Ellipse 3x 2 4xy 3y 2 1 Then The Value Of 3 5 Pia Is | ![]() Solved If A Represents The Area Of The Ellipse 3x 2 4xy 3y 2 1 Then The Value Of 3 5 Pia Is |
![]() Solved If A Represents The Area Of The Ellipse 3x 2 4xy 3y 2 1 Then The Value Of 3 5 Pia Is | ![]() Solved If A Represents The Area Of The Ellipse 3x 2 4xy 3y 2 1 Then The Value Of 3 5 Pia Is | ![]() Solved If A Represents The Area Of The Ellipse 3x 2 4xy 3y 2 1 Then The Value Of 3 5 Pia Is |
![]() Solved If A Represents The Area Of The Ellipse 3x 2 4xy 3y 2 1 Then The Value Of 3 5 Pia Is | ![]() Solved If A Represents The Area Of The Ellipse 3x 2 4xy 3y 2 1 Then The Value Of 3 5 Pia Is | ![]() Solved If A Represents The Area Of The Ellipse 3x 2 4xy 3y 2 1 Then The Value Of 3 5 Pia Is |
Solved If A Represents The Area Of The Ellipse 3x 2 4xy 3y 2 1 Then The Value Of 3 5 Pia Is | ![]() Solved If A Represents The Area Of The Ellipse 3x 2 4xy 3y 2 1 Then The Value Of 3 5 Pia Is | ![]() Solved If A Represents The Area Of The Ellipse 3x 2 4xy 3y 2 1 Then The Value Of 3 5 Pia Is |
![]() Solved If A Represents The Area Of The Ellipse 3x 2 4xy 3y 2 1 Then The Value Of 3 5 Pia Is | ![]() Solved If A Represents The Area Of The Ellipse 3x 2 4xy 3y 2 1 Then The Value Of 3 5 Pia Is | Solved If A Represents The Area Of The Ellipse 3x 2 4xy 3y 2 1 Then The Value Of 3 5 Pia Is |
Solved If A Represents The Area Of The Ellipse 3x 2 4xy 3y 2 1 Then The Value Of 3 5 Pia Is | ![]() Solved If A Represents The Area Of The Ellipse 3x 2 4xy 3y 2 1 Then The Value Of 3 5 Pia Is | Solved If A Represents The Area Of The Ellipse 3x 2 4xy 3y 2 1 Then The Value Of 3 5 Pia Is |
![]() Solved If A Represents The Area Of The Ellipse 3x 2 4xy 3y 2 1 Then The Value Of 3 5 Pia Is | ![]() Solved If A Represents The Area Of The Ellipse 3x 2 4xy 3y 2 1 Then The Value Of 3 5 Pia Is | ![]() Solved If A Represents The Area Of The Ellipse 3x 2 4xy 3y 2 1 Then The Value Of 3 5 Pia Is |
![]() Solved If A Represents The Area Of The Ellipse 3x 2 4xy 3y 2 1 Then The Value Of 3 5 Pia Is | Solved If A Represents The Area Of The Ellipse 3x 2 4xy 3y 2 1 Then The Value Of 3 5 Pia Is | ![]() Solved If A Represents The Area Of The Ellipse 3x 2 4xy 3y 2 1 Then The Value Of 3 5 Pia Is |
![]() Solved If A Represents The Area Of The Ellipse 3x 2 4xy 3y 2 1 Then The Value Of 3 5 Pia Is | Solved If A Represents The Area Of The Ellipse 3x 2 4xy 3y 2 1 Then The Value Of 3 5 Pia Is | ![]() Solved If A Represents The Area Of The Ellipse 3x 2 4xy 3y 2 1 Then The Value Of 3 5 Pia Is |
![]() Solved If A Represents The Area Of The Ellipse 3x 2 4xy 3y 2 1 Then The Value Of 3 5 Pia Is | Solved If A Represents The Area Of The Ellipse 3x 2 4xy 3y 2 1 Then The Value Of 3 5 Pia Is | Solved If A Represents The Area Of The Ellipse 3x 2 4xy 3y 2 1 Then The Value Of 3 5 Pia Is |
![]() Solved If A Represents The Area Of The Ellipse 3x 2 4xy 3y 2 1 Then The Value Of 3 5 Pia Is | Solved If A Represents The Area Of The Ellipse 3x 2 4xy 3y 2 1 Then The Value Of 3 5 Pia Is | ![]() Solved If A Represents The Area Of The Ellipse 3x 2 4xy 3y 2 1 Then The Value Of 3 5 Pia Is |
Solved If A Represents The Area Of The Ellipse 3x 2 4xy 3y 2 1 Then The Value Of 3 5 Pia Is | Solved If A Represents The Area Of The Ellipse 3x 2 4xy 3y 2 1 Then The Value Of 3 5 Pia Is | ![]() Solved If A Represents The Area Of The Ellipse 3x 2 4xy 3y 2 1 Then The Value Of 3 5 Pia Is |
![]() Solved If A Represents The Area Of The Ellipse 3x 2 4xy 3y 2 1 Then The Value Of 3 5 Pia Is | ![]() Solved If A Represents The Area Of The Ellipse 3x 2 4xy 3y 2 1 Then The Value Of 3 5 Pia Is | ![]() Solved If A Represents The Area Of The Ellipse 3x 2 4xy 3y 2 1 Then The Value Of 3 5 Pia Is |
Solved If A Represents The Area Of The Ellipse 3x 2 4xy 3y 2 1 Then The Value Of 3 5 Pia Is | Solved If A Represents The Area Of The Ellipse 3x 2 4xy 3y 2 1 Then The Value Of 3 5 Pia Is | ![]() Solved If A Represents The Area Of The Ellipse 3x 2 4xy 3y 2 1 Then The Value Of 3 5 Pia Is |
![]() Solved If A Represents The Area Of The Ellipse 3x 2 4xy 3y 2 1 Then The Value Of 3 5 Pia Is | Solved If A Represents The Area Of The Ellipse 3x 2 4xy 3y 2 1 Then The Value Of 3 5 Pia Is | ![]() Solved If A Represents The Area Of The Ellipse 3x 2 4xy 3y 2 1 Then The Value Of 3 5 Pia Is |
![]() Solved If A Represents The Area Of The Ellipse 3x 2 4xy 3y 2 1 Then The Value Of 3 5 Pia Is | ![]() Solved If A Represents The Area Of The Ellipse 3x 2 4xy 3y 2 1 Then The Value Of 3 5 Pia Is | ![]() Solved If A Represents The Area Of The Ellipse 3x 2 4xy 3y 2 1 Then The Value Of 3 5 Pia Is |
Solved If A Represents The Area Of The Ellipse 3x 2 4xy 3y 2 1 Then The Value Of 3 5 Pia Is | ![]() Solved If A Represents The Area Of The Ellipse 3x 2 4xy 3y 2 1 Then The Value Of 3 5 Pia Is | ![]() Solved If A Represents The Area Of The Ellipse 3x 2 4xy 3y 2 1 Then The Value Of 3 5 Pia Is |
![]() Solved If A Represents The Area Of The Ellipse 3x 2 4xy 3y 2 1 Then The Value Of 3 5 Pia Is | Solved If A Represents The Area Of The Ellipse 3x 2 4xy 3y 2 1 Then The Value Of 3 5 Pia Is | Solved If A Represents The Area Of The Ellipse 3x 2 4xy 3y 2 1 Then The Value Of 3 5 Pia Is |
![]() Solved If A Represents The Area Of The Ellipse 3x 2 4xy 3y 2 1 Then The Value Of 3 5 Pia Is | ![]() Solved If A Represents The Area Of The Ellipse 3x 2 4xy 3y 2 1 Then The Value Of 3 5 Pia Is | ![]() Solved If A Represents The Area Of The Ellipse 3x 2 4xy 3y 2 1 Then The Value Of 3 5 Pia Is |
Solved If A Represents The Area Of The Ellipse 3x 2 4xy 3y 2 1 Then The Value Of 3 5 Pia Is | ![]() Solved If A Represents The Area Of The Ellipse 3x 2 4xy 3y 2 1 Then The Value Of 3 5 Pia Is | ![]() Solved If A Represents The Area Of The Ellipse 3x 2 4xy 3y 2 1 Then The Value Of 3 5 Pia Is |
![]() Solved If A Represents The Area Of The Ellipse 3x 2 4xy 3y 2 1 Then The Value Of 3 5 Pia Is | Solved If A Represents The Area Of The Ellipse 3x 2 4xy 3y 2 1 Then The Value Of 3 5 Pia Is | ![]() Solved If A Represents The Area Of The Ellipse 3x 2 4xy 3y 2 1 Then The Value Of 3 5 Pia Is |
![]() Solved If A Represents The Area Of The Ellipse 3x 2 4xy 3y 2 1 Then The Value Of 3 5 Pia Is | Solved If A Represents The Area Of The Ellipse 3x 2 4xy 3y 2 1 Then The Value Of 3 5 Pia Is | ![]() Solved If A Represents The Area Of The Ellipse 3x 2 4xy 3y 2 1 Then The Value Of 3 5 Pia Is |
![]() Solved If A Represents The Area Of The Ellipse 3x 2 4xy 3y 2 1 Then The Value Of 3 5 Pia Is | ![]() Solved If A Represents The Area Of The Ellipse 3x 2 4xy 3y 2 1 Then The Value Of 3 5 Pia Is | ![]() Solved If A Represents The Area Of The Ellipse 3x 2 4xy 3y 2 1 Then The Value Of 3 5 Pia Is |
Solved If A Represents The Area Of The Ellipse 3x 2 4xy 3y 2 1 Then The Value Of 3 5 Pia Is | ![]() Solved If A Represents The Area Of The Ellipse 3x 2 4xy 3y 2 1 Then The Value Of 3 5 Pia Is | Solved If A Represents The Area Of The Ellipse 3x 2 4xy 3y 2 1 Then The Value Of 3 5 Pia Is |
![]() Solved If A Represents The Area Of The Ellipse 3x 2 4xy 3y 2 1 Then The Value Of 3 5 Pia Is | ![]() Solved If A Represents The Area Of The Ellipse 3x 2 4xy 3y 2 1 Then The Value Of 3 5 Pia Is | ![]() Solved If A Represents The Area Of The Ellipse 3x 2 4xy 3y 2 1 Then The Value Of 3 5 Pia Is |
![]() Solved If A Represents The Area Of The Ellipse 3x 2 4xy 3y 2 1 Then The Value Of 3 5 Pia Is | Solved If A Represents The Area Of The Ellipse 3x 2 4xy 3y 2 1 Then The Value Of 3 5 Pia Is | ![]() Solved If A Represents The Area Of The Ellipse 3x 2 4xy 3y 2 1 Then The Value Of 3 5 Pia Is |
Solved If A Represents The Area Of The Ellipse 3x 2 4xy 3y 2 1 Then The Value Of 3 5 Pia Is | Solved If A Represents The Area Of The Ellipse 3x 2 4xy 3y 2 1 Then The Value Of 3 5 Pia Is | Solved If A Represents The Area Of The Ellipse 3x 2 4xy 3y 2 1 Then The Value Of 3 5 Pia Is |
Solved If A Represents The Area Of The Ellipse 3x 2 4xy 3y 2 1 Then The Value Of 3 5 Pia Is | Solved If A Represents The Area Of The Ellipse 3x 2 4xy 3y 2 1 Then The Value Of 3 5 Pia Is | Solved If A Represents The Area Of The Ellipse 3x 2 4xy 3y 2 1 Then The Value Of 3 5 Pia Is |
Solved If A Represents The Area Of The Ellipse 3x 2 4xy 3y 2 1 Then The Value Of 3 5 Pia Is | Solved If A Represents The Area Of The Ellipse 3x 2 4xy 3y 2 1 Then The Value Of 3 5 Pia Is | Solved If A Represents The Area Of The Ellipse 3x 2 4xy 3y 2 1 Then The Value Of 3 5 Pia Is |
Solved If A Represents The Area Of The Ellipse 3x 2 4xy 3y 2 1 Then The Value Of 3 5 Pia Is | ![]() Solved If A Represents The Area Of The Ellipse 3x 2 4xy 3y 2 1 Then The Value Of 3 5 Pia Is | ![]() Solved If A Represents The Area Of The Ellipse 3x 2 4xy 3y 2 1 Then The Value Of 3 5 Pia Is |
Solved If A Represents The Area Of The Ellipse 3x 2 4xy 3y 2 1 Then The Value Of 3 5 Pia Is | Solved If A Represents The Area Of The Ellipse 3x 2 4xy 3y 2 1 Then The Value Of 3 5 Pia Is | Solved If A Represents The Area Of The Ellipse 3x 2 4xy 3y 2 1 Then The Value Of 3 5 Pia Is |
![]() Solved If A Represents The Area Of The Ellipse 3x 2 4xy 3y 2 1 Then The Value Of 3 5 Pia Is | Solved If A Represents The Area Of The Ellipse 3x 2 4xy 3y 2 1 Then The Value Of 3 5 Pia Is | Solved If A Represents The Area Of The Ellipse 3x 2 4xy 3y 2 1 Then The Value Of 3 5 Pia Is |
![]() Solved If A Represents The Area Of The Ellipse 3x 2 4xy 3y 2 1 Then The Value Of 3 5 Pia Is | ![]() Solved If A Represents The Area Of The Ellipse 3x 2 4xy 3y 2 1 Then The Value Of 3 5 Pia Is | ![]() Solved If A Represents The Area Of The Ellipse 3x 2 4xy 3y 2 1 Then The Value Of 3 5 Pia Is |
sec^2 x = 4xy/(x y)^2 is true if and only if A x y ≠ 0 B x y, x ≠ 0 C x = y D x ≠ 0, y ≠ 0 asked Jun 4 in Trigonometry by Daakshya01 ( 298k points) trigonometric functionsExpert Answer Who are the experts?
Incoming Term: x y 2 2xy 7, x y 2 xy -15, xy 24 x y-2, x y 2 4y 2-x 2 11, x y 2xy, x y 2xy 7, x y 2xy and x-y/xy 6, xy 2 xy 3, x y 2xy x-y 6xy, x y 2xy 83, x y 2xy 2, x y 2xy 7 xy 2 x y 8, xy 2 xy 3 10, x y 2xy 2 x 3 y 3 8,

































































0 件のコメント:
コメントを投稿